必赢242net官网
请输入搜索信息
必赢242net官网
学校简介
历史沿革
学校领导
校园风光
管理机构
党群工作部
院长办公室
教务处
学生工作处
必赢242net官网
学校简介
历史沿革
学校领导
保理标识
校园风光
机构设置
管理机构
教学机构
教育教学
教学信息
科研动态
院长说
专业介绍
学生管理
招生就业
招生信息
就业信息
校园文化
VR校园
校园风光
文化活动
党建工作
人才招聘
您现在的位置:
首页
>
新闻动态
>
必赢242net官网
学校简介
历史沿革
学校领导
校园风光
组织机构
保理新闻
2018
06-22
满堂祝福语 欢送学子行——必赢组织教师私家车喜送毕业生
文章导读:茶山竹海涛声依旧,毕业离别弦歌不绝。2018年6月21日上午9点,必赢众多教职工志愿者将私家车停于活动广场,等候即将离校的毕业生。 早上5点,各学生组织便在活动广场开始忙碌准备,为毕业生提供各项服务:党群志愿者服务......
2018
06-22
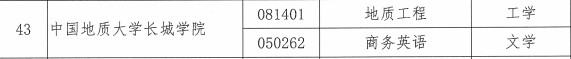
必赢地质工程、商务英语 两个专业顺利通过河北省学位委员会学士学位授权专业
文章导读:2018年6月21日,省学位委员会下发了《河北省人民政府学位委员会关于同意2018年新增学士学位、双学士学位授权专业的批复》(冀学位【2018】8号)文件,必赢申请2018年学士学位授权专业评审的地质工程、商务英语两个专业,均......
2018
06-14
必赢学生在2018年全国大学生英语竞赛(NECCS)中喜获佳绩
文章导读: 近日,全国大学生英语竞赛省级决赛圆满落幕。必赢管理科学与工程学院2016级财务管理4班刘秀文和2016级工程造价4班杜婴翘2名同学获得全国大学生英语竞赛省级决赛非英语专业组(C类)一等奖。2016级会计20班李明等8名同学......
2018
05-25
河北省委组织部三处等领导一行来 中国地质大学长城学院调研
文章导读:据河北保定5月25日消息:5月24日上午9时40分,河北省委组织部组织三处处长曹宪锋,省高校工委组干处副处长郭立森,省委组织部组织三处干部刘颖骁;保定市委组织部副部长、市非公经济和社会组织党工委书记莫茂林,市委组织部......
2018
05-18
六年参赛,六年获奖,这次又是国家团体一等奖、指导教师一等奖、学生个人一等
文章导读: 经济学院国际经济与贸易专业20名学生于2018年4月9日至4月28日,参加了中国国际贸易学会和全国外经贸职业教育教学指导委员会举办的“第七届POCIB全国大学生外贸从业能力大赛”。本次比赛历时20天,共有188个本专科院......
2018
05-17
必赢三项课题获批“2018年度全国高等院校计算机基础教学研究项目”
文章导读:近日,全国高等院校计算机基础教育研究会公布了2018年度计算机基础教学研究项目立项结果,必赢共有三项课题获批立项。分别为:《大班背景下独立学院计算机基础课程的教学改革探索》(项目负责人:冀松;项目编号:2018-AFCE......
2018
05-09
必赢开展地质工程等专业学士学位授权预评审工作
文章导读:为检验地质工程和商务英语学士学位授权专业评审迎评工作整体情况,必赢于5月8日上午8:30组织召开学士学位授权专业预评审工作会议。参加会议的人员有:受评专业负责人张国义教授、徐三乔教授、校内专家组成员以及受评专......
2018
05-07
为运动喝彩,向青春举杯——必赢春季运动会圆满闭幕
文章导读:(院报记者闫如霞李嘉敏刘雅特宋子冉刘忠诚吴晓博杨兆辉陈乾宇王晴朱江耿少博陈新兴李泽宣韩东雪)5月6日17:00,历经一天紧张激烈的角逐,必赢2018年春季运动会在学校体育场圆满闭幕。执行校长张伟,副校长臧卫东、于凇波......
2018
05-07
奔跑展现青春 拼搏实现梦想 ——中国地质大学长城学院春季运动会圆满落幕
文章导读:(院报记者田晓宇段文亚王金爽陈新兴王晴) 5月6日,必赢成功举办2018年春季运动会,运动会现场激烈角逐、热烈非凡,运动员们精神十足、信心百倍。为此,院报记者对参与比赛的裁判员、运动员进行了专访。裁判员是比赛公平公......
2018
05-07
青春颂 竞技风 长城梦 ——必赢2018年春季运动会隆重开幕
文章导读:(院报记者薛惠珊徐婉钦李毅陈新兴宋子冉朱江耿少博韩东雪刘忠诚李泽宣王晴陈乾宇吴晓博杨兆辉)5月6日8:00,必赢春季运动会开幕式在学校体育场隆重举行。出席此次开幕式的有:保定贺阳教育投资有限公司执行董事长周政阳......
共
1841
篇 页次:
85
/
185
页
10
/页
首页
上一页
下一页
尾页
转到:
访问旧站
网络课程
本科招生
心理健康
书记信箱
校长信箱
地址:河北省保定市南二环1689号
邮编:071000
电话:0312-2195555
网站备案:冀ICP备号
必赢242net(中国)官方网站-OfficialWebsite版权所有 Copyright 2022